Publication en Biologie Médicale - Équipe MONACORD

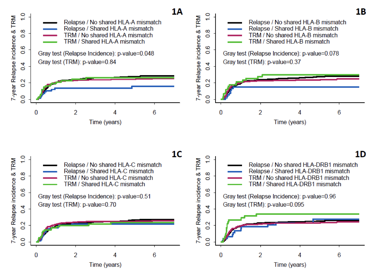
Résumé figuratif de l'étude. © Wynn et al, 2025. Couverture du journal Blood Advances – mai 2025. © Blood Advances/American Society of Haematology. Incidence cumulée des rechutes (ICR) et mortalité liée à la transplantation (TRM, risque concurrent) sur sept ans en fonction de la présence d'une incompatibilité HLA partagée entre la paire PT (patient)-LU (unité perdante) et le WU (unité gagnante). Figure 1A. ICR et TRM en fonction de la présence d'une incompatibilité HLA-A partagée entre la paire PT-LU et le WU. Figure 1B. ICR et TRM en fonction de la présence d'une incompatibilité HLA-B partagée entre la paire PT-LU et le WU. Figure 1C. ICR et TRM en fonction de la présence d'une incompatibilité HLA-C partagée entre la paire PT-LU et le WU. Figure 1D. ICR et TRM en fonction de la présence d'une incompatibilité HLA-DRB1 partagée entre la paire PT-LU et le WU. © Wynn et al, 2025. Incidence cumulée des rechutes (ICR) et mortalité liée à la transplantation (TRM, risque concurrent) sur sept ans en fonction du nombre de mésappariements HLA partagés dans la paire PT (patient)-LU (unité perdante) par rapport à WU (unité gagnante). © Wynn et al, 2025. Incidence cumulée des rechutes (ICR) et mortalité liée à la transplantation (TRM, risque concurrent) à sept ans en fonction du nombre d'incompatibilités HLA partagées dans la paire PT (patient)-LU (unité perdante) par rappor à la WU (unité gagnante), en considérant les patients présentant au moins deux incompatibilités HLA avec le WU. © Wynn et al, 2025.
Impact des déterminants HLA partagés sur le risque de rechute après double greffe de sang de cordon

L'équipe Monacord/Eurocord a publié dans "Blood Advances" une étude réalisée en collaboration avec le Pr Robert Wynn et son équipe, examinant comment les déterminants HLA partagés influencent le risque de rechute leucémique après une double greffe de sang de cordon.

La greffe de cellules souches hématopoïétiques pour les maladies hematologiques malignes a un aspect curatif grâce à l'effet du greffon contre la leucémie (GvL), où les cellules immunitaires du donneur attaquent les cellules leucémiques résiduelles.

Le sang de cordon ombilical constitue une alternative pour les patients sans donneur compatible. Pour atteindre une dose cellulaire suffisante chez l'adulte ou l'enfant de poids élevé, deux unités de sang de cordon peuvent être utilisées (double greffe). Généralement, après greffe une seule unité s'implante durablement (unité dominante), tandis que l'autre est rejetée (unité perdante).

L'étude, portant sur 383 doubles greffes présentes dans le registre Eurocord, a démontré que:
  • Les rechutes étaient significativement réduites lorsque le patient et l'unité perdante partageaient une incompatibilité HLA-A avec l'unité gagnante
  • Le nombre d'incompatibilités HLA partagées était prédictif du risque de rechute
  • Les incompatibilités multiples étaient associées à un risque de rechute plus faible.
Ces résultats suggèrent que les incompatibilités HLA partagées entre le patient et l'unité perdante déclenchent une réponse immunitaire de l'unité dominante contre la leucémie, réduisant ainsi le risque de rechute post-greffe.

Ces résultats pourront être utiles pour mieux comprendre le mécanisme des rechutes et améliorer les résultats après greffe.

Publication :
Wynn R., Volt F., Guardiola P., Senthil S., Scigliuolo G.M., Kenzey C., Cappelli B., Ruggeri A., Tamouza R., Rocha V.G., Anthias C., Peffault De Latour R., Clesham K., Castleton A., Schaap M., Amrolia P.J., Bierings M.B., Cornelissen J.J., Poulton K.V., FRCPath, Gluckman E. Impact of shared HLA determinants between patient and losing cord blood unit on relapse after double cord blood transplantation. Blood Advances, 2025 May 2:bloodadvances.2025015938. doi: 10.1182/bloodadvances.2025015938. Epub ahead of print. PMID: 40315369.

 

Pour plus de renseignements, veuillez contacter :
Pr. Eliane Gluckman
Dr. Graziana Scigliuolo
Dr Barbara Cappelli